Due to impending winter weather, Thursday, January 6th will be an eLearning day for all Crawford County Schools.

Looking for a last minute Christmas gift for your student? Order them a yearbook! Order online or call Mr. Hayes with your order here at the high school.

Crawford County Schools will be operating on a 2 hour delay today, December 8th.

Seniors & Parents of Seniors -- please join us for our annual FAFSA Day!

Please consider working at our schools! We have many positions available to begin immediately.

Come join our College & Career Day, Thursday, September 23rd in the gym. There are 42 vendors from colleges, careers, & military for your information gathering. Parents are welcome to attend when your student attends.
11th & 12th -- 9:00-10:15
9th & 10th -- 10:15-11:30

During food distribution Tuesday, we will be collecting new & gently used shoes. Please see the attached flyer for more information!

Food distribution will occur Tuesday for current students. Families can choose to pick up meals at any of our buildings from 8:00-9:00 or 12:30-1:30. Meals must be picked up by the student's parent or guardian. Please sign up by Sunday to assist our planning.
https://forms.gle/rJT7V7GymdzLdtt38

Food distribution will occur Monday for current students. Families can choose to pick up meals at any of our buildings from 8:00-9:00 or 12:30-1:30. Meals must be picked up the student's parent or guardian. Please sign-up by Sunday to assist our planning.
https://forms.gle/Es5zdLNG9F6VuqCAA

Yesterday evening after school hours, the nurses received multiple positive COVID tests on students. Already this morning, we have received additional positive test results and are currently contact tracing. Due to the extreme numbers of quarantined students all week long, CCCS must begin eLearning tomorrow (Friday the 27th). Details will follow tonight in an all call.
Please see the graphic below for student driver, bus drop off, and parent drop off information. See you Monday!

The CCCS COVID re-entry plan has been updated. Please see page 2 of the attached document to review our updated protocols for re-entry. We're looking forward to seeing you Monday!
https://docs.google.com/document/d/1ZyWXxlZo4yHzeOiqAH4Lr88j5JQYHnV6XmyFnEbOgk8/edit?usp=sharing
We are looking for an RN. Apply today to work with amazing students and a wonderful staff!

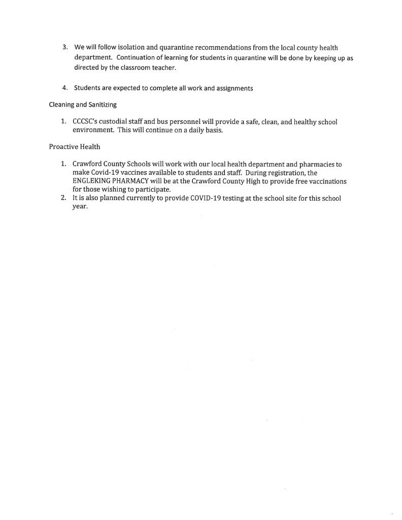
CCCS Re-entry Plan for the 2021-2022 school year.


Please see registration info below!
Meals can be picked up at any of our elementary schools on Tuesday, July 6th between 10:30 and 11:30. Please sign up by Sunday to assist our planning.
https://forms.gle/Vx5PKJFukgTQZPY28
We are hiring support staff here at Crawford County Schools! Call the superintendent's office if you're interested in working with wonderful students and staff!

Meals can be picked up at any of our elementary schools on Tuesday, June 29th between 10:30 and 11:30. Please sign up by Sunday to assist our planning.
https://forms.gle/JDHHSu7sFBY7WQ4y7
Meals can be picked up at any of our elementary schools on Tuesday between 10:30 and 11:30. Please sign up by Sunday to assist our planning.
https://forms.gle/8V9fLYWiafjuuYkdA
Check out this opportunity for free clothes! Please see the below information from the Salvation Army:
The Salvation Army in Southern Indiana will host a back to school clothing giveaway for families with students in pre-K through college living in Clark, Crawford, Floyd, Harrison, Scott, and Washington Counties.
Registration will take place from 6/17/2021 through 6/25/2021.
Families can register for school clothing assistance by visiting www.sanewalbany.org
Families will be required to provide a guardian’s proof of residence along with a birth certificate or medical card with birth date for each student.
For more information or for help with registration,
call The Salvation Army at 812-944-1018.

